各位考生:
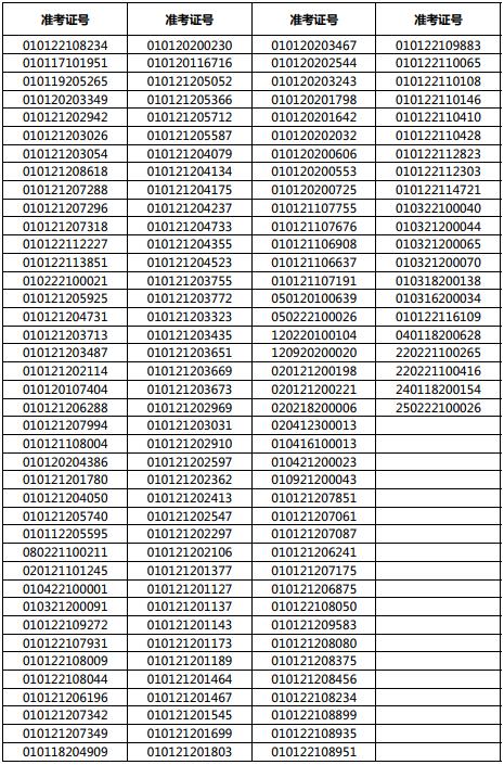
87365最快检测中心2022年度自考毕业论文考核申报工作已于7月1日结束。通过“安徽省高等教育自学考试管理信息平台”逐一审核,并报87365最快检测中心院长办公会议审议,最终共有171位考生未能达到毕业论文考核的资格审核条件,现予以公布。我院将尽快通过短信通知各位考生,退回申请费,请查收。其余通过审核的考生请尽快与所在学院联系,开始毕业论文撰写工作。
根据《安徽师范大学2022年自考实践课程考核和毕业论文报名的通知》规定,考生必须达到“专业理论课程通过6门及以上者可报名毕业论文考核”。但考虑到今年因疫情影响导致上半年自考推迟,本着从广大考生利益出发,也为保证论文质量,结合87365最快检测中心实际情况,经充分论证并报主管部门同意,本次毕业论文考核的申请条件有所调整,请广大考生予以理解。
如有其他问题,请联系我院自考办,电话0553-3869271,3937013.
特此通知。
87365最快检测中心
2022年7月5日
附:2022年报名自考论文名单审核结果(未通过审核)

